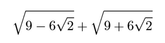
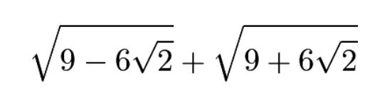
An Algebra Puzzle
There are many ways one can solve this. It all boils down to what sort of techniques you are most comfortable with.
Now grab a pen and paper, and give this a go, When you are ready, keep reading for the solution.
Solution
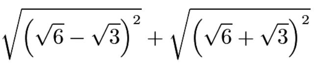
I am going to present this method of turning the insides of the square root into a perfect square.
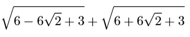
The key is to decompose the 9 into 6 and 3.
Notice both of the insides are of the form a^2 -2ab + b^2 and a^2 + 2ab + b^2 respectively.
In our case, a is sqrt(6) and b is sqrt(3).
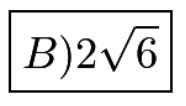
Then the squares and the roots cancel out.
So we get the following value.
How did you approach this problem. Let me and others know in the comments!
The post An Algebra Puzzle appeared first on Math Games.








